建发海宸是上海杨浦区新江湾城板块的高端住宅项目,由建发房产开发,定位为低密度滨水社区,主打改善型户型。以下是综合信息整理:


地理位置:位于杨浦区新江湾城核心,东至规划绿地、西临江湾城路,北靠在建的交大附中杨浦实验学校(非学区承诺)
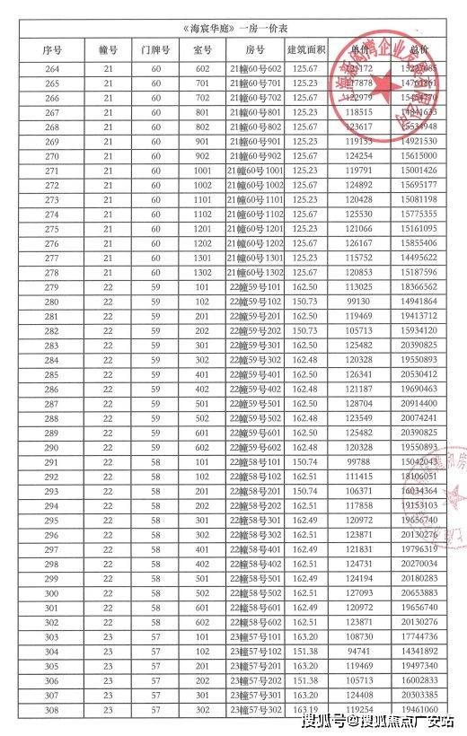
容积率:仅1.55,绿化率35%,规划1156套住宅,含小高层、洋房及叠墅产品户型面积:主力户型105-250㎡,涵盖三房至五房,层高3.05-3.2米,部分配备华为鸿蒙智家系统。

生态资源:紧邻1.5公里滨水长廊及11.4公顷湿地公园,社区内复刻“沪城八景”主题景观
建发海宸项目本身总占地约10.29万方,容积率仅约1.55,门口就是湿地公园,为新江湾低密大盘。
项目整体为海派东方风格,融合了中西方建筑元素。海派东方风格通过文化融合、创新设计、精选材质和精湛工艺,打造出既具有文化底蕴又符合现代生活品质的住宅建筑,成为高端住宅市场的新标杆。
✅建发海宸营销中心热线(预约看房热线㎡越级洋房以全南向三开间、通透飞机户型打破想象,零过道设计减少面积浪费,让每一平米都为生活服务,整体空间感比肩上海在售的约120㎡户型。

独立入户玄关特别设立800库大容量储物区,登山包、婴儿车、滑雪板、行李箱等大物件都能找到安身之处,不再挤占宝贵的居住空间。

超30㎡餐客方厅采用一体化布局,巧妙地连接南向阳台、U型厨房,形成极佳通风采光通道。轻松容纳6人餐桌,无论是三代同堂的日常用餐,还是周末的家庭聚会,都能从容应对。

多功能餐边柜采用三合一设计,融吧台、展示柜、收纳柜于一体,可摆放咖啡机、烤面包机、破壁机,也可做酒柜,展示珍贵藏酒。

U型厨房的设计同样令人称道,整体面积约7.5㎡,台面总长约5.8米,比常规户型多出25%的操作空间,两人下厨绰绰有余,洗切烹炒盛更高效顺畅,让烹饪成为一种享受。

独立均好大三房设计,南向双卧、北向次卧分离,卧室面宽均超3米,彼此独立,呵护家人的私密时光;南向次卧墙体可拆除,可做多变大宽厅,演绎生活的更多想象;主卧更配有宽景飘窗与独立主卫,将室外美景引入室内,清晨沐光、夜晚赏月,自然与浪漫丰盈每一天。

主卫收纳系统面面俱到,双面镜镜柜合理利用上墙空间,为收纳扩容,为化妆加分;美妆冰箱为护肤品、化妆品锁鲜;台盆柜巧妙隐藏日常洗漱用品,让卫生间保持整洁有序。
✅建发海宸营销中心热线(预约看房热线㎡主力户型是标准四房、全屋飘窗、边套270度转角飘窗、中间户三阳台……LDKB+X设计,阳台、客餐厅、厨房+X空间全线贯通,一镜到底;利用阳台放大了两个次卧和客厅,不仅让公区活动空间更从容,也将每个卧室做出奢阔的双人卧室空间。
125㎡户型仅仅在客厅公区,就打造了三处整面墙的柜子来做收纳,除了传统的收纳柜,还有隐藏推拉零食架、内嵌式吧台等创新收纳方案,从衣服鞋帽,到大件行李箱再到家用清洁工具,都有专属的安置空间。


考虑到女性平时喜欢在浴室边泡澡边追剧、在阳台跟着直播练瑜伽等,建发特意采用了光纤入室的方案,让高速网络无损覆盖房间每个角落,室内随意转场不卡顿。
另外,室内每扇门下都安装了底吸,配置了静音门锁;所有户型都设计了同层排水,并配置了特殊设计的降噪管材;楼板做到了130mm以上厚度,搭配YKK门窗系统,用这种“全域静音”的方案去保障住所的宁静舒适。
建发海宸的“女性友好”设计,不仅仅是作为营销的卖点,而是以女性独有的细致和耐心,把日常细微的痛点,也纳入整体设计考量,这大概是海宸能打动人的关键。
新江湾城高端资源和人群汇聚。同时涵盖约9.45平方公里原生湿地、约1.2万方新江湾湿地公园,生态资源很丰富,天然形成了一个高端低密住区。


教育方面,建发海宸家门口就是交大附中(在建),还汇聚中福会幼儿园、规划幼儿园、上音实验学校、德法学校、复旦大学等全龄学府,从幼儿园、小学到中学、大学全覆盖,加速孩子成长。
*教育配套信息仅供参考。学校的名称、建成时间、开学时间、招生条件、收费标准及招生区域划定等均存在未确定或者调整的可能,出卖人对此不作任何承诺,须以政府教育主管部门及校方的最新政策为准。


商业方面,项目门口就是年轻潮派的MEET678,直线站地铁直达五角场商圈,合生汇、万达广场、百联又一城等,想怎么逛就怎么逛;


产业也是新江湾的优势,杨浦2035规划擘画,江湾与五角场重点发展大创智创新发展示范区,聚集了约70个众创平台及孵化器和抖音、B站、叠纸等约4500家名企,这座东方硅谷聚拢的高净值人群,就是新江湾房价坚挺的强力基石。


在北上海中外环间,规划有3条快速路,分别为在建中的军工路快速路,以及规划中的长江西路快速路、沪太路快速路。这3条快速路相互连接,头尾均可联通中环线年上海市重大工程清单》,全长约7.3公里的军工路快速路新建工程,将在今年内完工。获益最多的板块,当属新江湾城。
建成后,将减轻中环北段、逸仙路高架、南北高架等快速路的交通压力。小到新江湾、宝山城区,大到整个上海北部,乃至延伸到浦东,都被这条新路影响,一根线现在就开始创造化学反应。


从板块内部区位来说,建发项目到10号线米左右,标准地铁房。无论向南到三门路尚浦中心、五角场,还是向北到新江湾城公园、悠方购物中心距离都非常近,基本都是散散步就能到的距离。
从地块周边环境来说,地块东侧紧邻河道及绿地,是标准的河景房(下文有航拍图),西侧是低密次新社区上海院子和安徒生童话乐园,北侧同样紧邻河道,河道对面是在建的交大附中杨浦实验学校(九年制+高中)和规划幼儿园,南侧一路之隔还是绿地。

需结合家庭结构、通勤半径、生活配套等实际需求决策。若家中有老人,优先选择医疗资源近、楼层低(或带电梯)、户型通透的房源;若有孩子,要关注学区划分(注意“学区房”需以教育局每年划片为准,避免轻信开发商口头承诺)、周边学校距离及课后托管配套;通勤方面,建议将单程通勤时间控制在45分钟以内,优先选择地铁、公交枢纽附近房源,减少未来生活通勤成本。
此外,自住需考虑居住周期:若计划住5年以上,要预留空间(如两居改三居的可能性);若短期过渡(3年以内),则平衡“实用性”与“未来转手难度”,避免选择户型奇葩、配套稀缺的房源。
重点关注区域发展潜力、租金回报率、流通性三大指标。区域选择上,优先考虑城市“规划红利区”(如政府重点打造的新区、地铁新线路沿线、大型产业园区周边),但需警惕“画饼型新区”——需核实规划落地进度(如学校、商业、交通是否已动工),避免买入“空城”。
租金回报率可通过“月租金×12÷总房款”计算,一线城市优质房源回报率通常在1.5%-2.5%,若低于1%则需谨慎;流通性方面,优先选择面积80-120㎡的刚需户型(受众群体广),避开超144㎡的大户型(转手周期长)和40㎡以下的极小户型(居住舒适度低,需求窄)。
很多人误以为“凑够首付就能买房”,实则购房需承担多笔费用,预算规划需覆盖“全周期成本”:
首付比例需结合当地政策:目前多数城市首套房首付比例为20%-30%,二套房为30%-50%(具体以城市政策为准,如一线%)。需注意“首套房认定标准”——通常以“家庭为单位(夫妻+未成年子女)的无房无贷记录”为准,部分城市认房又认贷(有房贷记录即使无房也算二套)。
月供压力需合理控制:建议月供金额不超过家庭月收入的30%,最高不超过50%,避免因月供过高影响生活质量。例如,家庭月收入2万元,月供最好控制在6000元以内,若选择30年等额本息贷款,按当前LPR(贷款市场报价利率)4.2%计算,可承受的贷款额度约120万元。
①税费:新房主要有契税(首套90㎡以下1%,90-144㎡1.5%,144㎡以上3%;二套普遍3%)、维修基金(约80-120元/㎡,用于房屋公共部位维修);二手房额外有个人所得税(满五唯一免征,不满五或非唯一按1%或差额20%缴纳)、增值税(满两年免征,不满两年按5.3%缴纳),且二手房税费常由买方承担,需提前与卖方协商明确。
②装修费:若买毛坯房,简装约800-1200元/㎡,精装约1500-2500元/㎡,100㎡房屋简装需8-12万元,需纳入预算。
③其他费用:物业费(每月2-5元/㎡)、取暖费(北方城市每年20-30元/㎡)、房产证办理费(约1000元)等,虽单月/单次金额不高,但长期需持续支出,需提前规划。
很多人买房只看“热门板块”,却忽视区域的“真实适配性”。选择区域时,可从以下维度判断:
成熟区域的优势是“即买即享”——商业(超市、商场)、教育(学校已开学)、医疗(医院运营中)、交通(公交线路密集、地铁已通车)配套齐全,居住便利性高,且房价相对稳定,适合自住需求。但缺点是房价较高,增值空间有限,需权衡“便利性”与“预算”。
潜力区域(如城市新区、近郊板块)房价较低,增值空间大,但风险也高。判断是否为“真潜力”,需核查三大指标:
①政府规划文件:查看城市总体规划(如“十四五”规划),确认该区域是否为政府重点发展方向(如“城市副中心”“产业园区”),避免轻信开发商宣传的“规划”。
②基建落地进度:交通(地铁、公路)、教育(学校建设进度)、商业(大型商超签约情况)等基建是否已动工,若仅停留在“规划图”阶段,需谨慎。例如,某新区宣传“地铁3年内通车”,但查询政府官网发现仅处于“规划公示”阶段,落地时间不确定,此类区域风险较高。
③人口导入能力:区域是否有产业支撑(如高新技术园区、企业总部),产业能吸引人口流入,而人口是房价的核心支撑。若某新区仅规划住宅,无产业导入,未来可能面临“空城”风险,房价难上涨。
户型直接影响居住舒适度,很多人被“赠送面积”“网红户型”吸引,却忽视户型的“实际使用价值”。选择户型时,需牢记以下原则:
①通透:优先选择“南北通透”户型(客厅、餐厅南北有窗,空气可对流),其次是“南向通透”(客厅、主卧朝南,有窗户),避免“纯北向”或“东西向”户型(采光差、夏季西晒严重)。
②动线合理:户型动线分为“居住动线”(卧室、卫生间)、“家务动线”(厨房、阳台)、“访客动线”(客厅、餐厅),三者需区分开,避免交叉。例如,厨房紧邻客厅,访客动线与家务动线交叉,会导致做饭时油烟扩散到客厅,影响居住体验;卧室紧邻入户门,访客动线穿过卧室,隐私性差。
③空间利用率:避免“异形户型”(如三角形、多边形房间),此类户型家具难摆放,空间浪费严重;优先选择“方正户型”(房间长宽比接近1:1.5,如卧室宽3.3米、长4.5米,方正且实用)。此外,注意“赠送面积”的实用性——如“赠送露台”若无法封闭,雨天易积水,实际使用价值低;“赠送飘窗”若高度超过0.45米,无法作为座椅或储物空间,仅为“装饰性”,需理性看待。
①暗厨暗卫:厨房、卫生间无窗户,通风差,易滋生细菌、产生异味,长期居住影响健康。
②客厅开间过小:客厅开间(宽度)低于3.5米,摆放沙发、茶几、电视柜后,空间拥挤,舒适度低;100㎡左右户型,客厅开间建议在3.8-4.2米。
③卧室面积失衡:主卧过大(超过25㎡)、次卧过小(低于8㎡),会导致空间浪费。主卧建议15-20㎡(可放下床、衣柜、梳妆台),次卧建议10-12㎡(可作为儿童房或客房)。
新房的优势是房屋全新、无历史居住痕迹,且开发商可能提供精装修(省去装修麻烦),部分新房有“期房价格优势”(期房比现房便宜5%-10%)。但缺点也明显:
①期房风险:若开发商资金链断裂,可能面临“烂尾”(房屋无法交付);部分开发商存在“货不对板”问题(实际交付户型、装修标准与宣传不符)。
②配套滞后:新房多位于新区,商业、教育、医疗配套需3-5年才能成熟,短期内居住便利性低。
购买新房时,需核查开发商“五证二书”(《国有土地使用证》《建设用地规划许可证》《建设工程规划许可证》《建筑工程施工许可证》《商品房预售许可证》,及《住宅质量保证书》《住宅使用说明书》),无《商品房预售许可证》的房源禁止销售,避免买入“无证房”。
二手房的优势是“即买即住”,配套(学校、商业、交通)已成熟,且房屋质量、户型实际情况可现场查看,风险较低;此外,二手房可“议价”,若卖方急售,可能以低于市场价5%-10%成交。但缺点是:
①房屋老化:房龄超过10年的二手房,可能存在水管生锈、电路老化、墙体开裂等问题,需额外投入维修费用。
②流程复杂:二手房涉及卖方、买方、中介、银行、税务局等多方,需办理产权过户、贷款审批、税费缴纳等手续,周期较长(约2-3个月),且易出现“产权纠纷”(如房屋有抵押、查封,或卖方并非产权人)。
购买二手房时,需先到不动产登记中心查询“房屋产权信息”,确认房屋无抵押、无查封、产权人清晰;同时,实地查看房屋时,需检查墙面(有无空鼓、渗水痕迹)、水电(打开水龙头看水压,测试插座是否通电)、防水(卫生间、阳台地面是否有渗水,可询问邻居是否有漏水情况)。
①产权年限:住宅产权70年,公寓多为40年或50年(商业用地或工业用地),产权到期后,住宅可自动续期(需缴纳少量费用),公寓续期政策尚不明确。
②生活成本:公寓水电费按“商业标准”收取(水费约5元/吨,电费约1元/度),是住宅的1.5-2倍;多数公寓无天然气,需使用电磁炉做饭,长期成本高。
③流通性:公寓转让时,税费远高于住宅(增值税按差额5.3%、土地增值税按3%-6%、契税3%等),且首付比例高(多数城市公寓首付50%,贷款年限最长10年),导致流通性差,未来难转手。
因此,公寓仅适合“短期过渡”或“纯投资出租”(若租金回报率高),不建议自住或长期持有;自住优先选择70年产权住宅。
购房合同是保障权益的核心文件,很多开发商或卖方会在合同中设置“霸王条款”,需重点关注以下内容:
①交付标准:明确房屋装修标准(如墙面涂料品牌、地板材质、卫浴品牌)、配套设施(如电梯品牌、停车位数量),避免使用“同等档次品牌”“优质材料”等模糊表述,若与宣传不符,可依据合同维权。
②延期交房责任:约定延期交房的违约金(通常按日计算,如总房款的0.01%-0.05%/日),及延期超过一定时间(如90天)的处理方式(买方有权解除合同并要求赔偿),避免开发商“无限延期”却无责任。
③面积误差处理:约定房屋实测面积与合同面积的误差范围(通常±3%),误差在3%以内的,多退少补;误差超过3%的,买方有权解除合同或要求开发商赔偿。
①付款方式:分阶段付款(如定金、首付、尾款),并约定每笔款项的支付时间及条件(如首付在过户前3天支付,尾款在交房后10天支付),避免“一次性付款后卖方不配合过户”。
②过户时间:明确过户的具体时间(如签约后30天内),及逾期过户的责任(如卖方逾期,需按日支付违约金,超过15天买方有权解除合同)。
③房屋瑕疵责任:若卖方隐瞒房屋瑕疵(如漏水、墙体开裂),需约定赔偿方式(如卖方承担维修费用,或减少房款);可在合同中加入“交房前由第三方验房,若发现瑕疵,卖方需整改后再交房”条款。
购房贷款主要有“商业贷款”“公积金贷款”“组合贷款”(商业+公积金)三种,需根据自身情况选择:
公积金贷款年利率通常比商业贷款低1-2个百分点(如当前公积金贷款5年以上利率3.1%,商业贷款LPR4.2%),100万元贷款30年,公积金贷款比商业贷款少还约20万元利息。
但公积金贷款有额度限制(如个人最高贷50万元,家庭最高贷80万元,具体以城市为准),若贷款额度不足,可选择“组合贷款”(公积金贷满额度,剩余部分用商业贷款)。
注意:公积金贷款需连续缴纳6个月以上(部分城市12个月),且申请贷款时处于正常缴纳状态;若此前使用过公积金贷款,需结清后才能再次申请。
商业贷款额度无上限(只要符合银行审批要求),但利率较高。选择商业贷款时,需注意:
①利率类型:分为“固定利率”和“浮动利率”。固定利率在贷款期限内不变,适合预期未来利率上涨的情况;浮动利率随LPR调整(每年调整一次),适合预期未来利率下降的情况,目前多数人选择浮动利率。
②还款方式:“等额本息”(每月还款额固定,前期还利息多、本金少)和“等额本金”(每月还款额递减,前期还款压力大,总利息少)。若收入稳定,优先选等额本息;若收入较高且未来收入可能减少(如临近退休),可选等额本金。
③提前还款:部分银行对提前还款收取违约金(如还款满1年免违约金,不满1年收1%违约金),需在贷款合同中明确,避免未来提前还款时多花费用。
很多人认为“拿到钥匙就万事大吉”,实则收房时若不细致验房,可能面临“房屋质量问题”“配套缺失”等隐患,需做好以下工作:
①空鼓:用小锤子轻敲墙面、地面,若声音清脆(“咚咚”声),则为空鼓,空鼓面积超过200cm²需开发商整改(空鼓易导致墙面脱落、地面开裂)。
②开裂:查看墙面、地面是否有裂缝,尤其是窗边、门边(易因沉降导致开裂),若裂缝宽度超过0.3mm,需开发商进行加固处理。
③渗水:查看天花板、墙面(尤其是卫生间、阳台上方)是否有渗水痕迹(如霉斑、水印),可要求开发商做“闭水试验”(卫生间地面放水,24小时后查看楼下是否漏水)。
①水电:打开所有水龙头,检查水压是否正常(水流均匀无断流);测试所有插座(用验电笔检测是否通电),查看配电箱是否有漏电保护器(按测试按钮,跳闸则正常);检查燃气管道是否有漏气(可闻气味,或用肥皂水涂抹管道接口,若冒泡则漏气)。
②门窗:开关门窗,检查是否顺畅(无卡顿、异响);关闭门窗后,查看密封是否良好(可在缝隙处塞纸条,拉动纸条若有阻力则密封好);检查玻璃是否有划痕、破损,五金件(如合页、把手)是否牢固。
开发商交付房屋时,需提供“三书一证一表”——《住宅质量保证书》《住宅使用说明书》《建筑工程质量认定书》《房地产开发建设项目竣工综合验收合格证》《竣工验收备案表》,其中《竣工验收备案表》是核心,若开发商无法提供,说明房屋未通过政府验收,不符合交付条件,买方有权拒绝收房,且不算违约。
部分开发商会以“先签字收房,再验房”为由强制收房,此时需明确拒绝——应先验房,确认无问题后再签字收房。若验房发现问题,需书面提出整改要求(注明整改期限),开发商整改完成后,再次验房合格,方可收房。
不买“无证房源”:无《商品房预售许可证》的新房、产权不清晰的二手房(如无房产证、有抵押查封),避免产权纠纷。
不买“规划落空区域”:仅停留在“规划图”,无基建落地的新区房源,避免买入“空城”。
不买“奇葩户型”:暗厨暗卫、异形户型、动线混乱的房源,避免居住不适、未来难转手。
必查“产权信息”:新房查“五证”,二手房查不动产登记信息,确认产权无问题。
必查“合同条款”:重点看交付标准、违约责任、付款方式,避免“霸王条款”。
买房是一个需要耐心和细心的过程,切忌冲动决策。建议大家提前学习购房知识,明确自身需求,做好预算规划,选房时多对比、多考察,签约时细看合同,收房时细致验房,才能买到“满意又安心”的房子,让房产成为家庭幸福的载体,而非负担。
扫一扫关注微信